هر آنچه در ادامه مطالعه خواهید کرد:
اصلاح ضریب توان
ضریب توان برابر با نسبت توان اکتیو به توان راکتیو است. در ادامه قصد داریم شما را با اصلاح ضریب توان بیشتر آشنا کنیم.
ضرورت اصلاح ضریب توان
به میزانی که ضریب توان مصرف کننده ها افزایش یابد، مقدار جریان عبوری از شبکه به ازای توان مصرفی ثابت کاهش خواهد یافت. که این موضوع باعث کاهش تلفات، کاهش افت ولتاژ، افزایش ظرفیت خطوط و ترانسفورماتورها خواهد شد.
با اعمال مدیریت بر تعرفه های برق می توان مصرف کننده ها را به سمت مصرف در ساعاتی که هزینه انرژی مصرفی کمتر باشد ساعات کم باری هدایت نمود.
نیاز اغلب دستگاهها و مصرفکنندگان الکتریکی مقداری توان راکتیو برای مهیا کردن شرایط لازم برای انجام کار مفید میباشد.
به عنوان مثال یک الکتروموتور برای تبدیل انرژی الکتریکی به انرژی مکانیکی نیازمند تولید شار مغناطیسی در فاصله هوایی موتور است و نمیتواند بدون توان راکتیو نیروی الکتروموتوری ایجاد کند.
در نتیجه اطلاح ضریت توان مطرح میگردد.
تجهیزات نیازمند توان راکتیو در شبکه
سیستم های الکترونیک قدرت، تثبیت کننده های ولتاژ، کوره های القایی و قوس الکتریکی، سیستم های جوشکاری AC و DC متعادل سازهای بارهای نامتعادل، تجهیزات و دارای مشخصات غیرخطی میباشند. این توان منجر به اضافه شدن جریان این شبکه و در نتیجه افت ولتاژ و افزایش تلفات توان در مسیر به صورت حرارت خواهد شد.
از جمله زیان های وارد شده به شبکه در این حالت عبارتند از:
اضافه شدن جریان مولد و نیاز به مولدهای با توان بیشتر
افزایش جریان شبکه و نیاز به کابلهای با سطح مقطع بزرگتر
اتلاف توان در شبکه های توزیع ( تولید حرارت و افت ولتاژ )
لزوم اصلاح ضریب توان
اصلاح ضریب توان تکنیکی برای کم کردن آثار منفی بارهای راکتیو در یک شبکه برق متناوب ضرورت تامین توان راکتیو مورد نیاز مصرف کننده از راهی غیر از شبکه ( افزایش توان راکتیو تولیدی در نیروگاهها جریان تحریک ژنراتور را افزایش میدهد که با محدودیت های دینامیکی روبروست) میباشد.
ضریب توان را به دو دلیل تا عدد یک تصحیح نمی کند:
دلیل اول: هزینه بالای آن نسبت به اصلاح مقادیر ۹۵.۰ تا ۹۹.۰ است.(عدم توجیه اقتصادی)
دلیل دوم : اصلاح ضریب توان به عدد یک تحت شرایط خاص انجام میشود و ممکن است در شرایطی سیستم پیش فاز شود که در بسیاری از موارد اضافه ولتاژ به همراه خواهد داشت.
بنابراین سیستم اصلاح ضریب توان به تجهیزات خودکاری به نام رگولاتور ولتاژ مجهز می شود که با تغییر بار، ضریب توان را در مقدار تنظیم شده ثابت نگه می دارند.
ضریب توان به چند روش مورد اصلاح قرار میگیرد که به چند مورد اشاره میکنیم:
اصلاح ضریب توان به کمک فیلتر اکتیو موازی
اصلاح ضریب توان به کمک خازن
رگولاتور ولتاژ
اصلاح ضریب توان به کمک خازن
جریان در خازن متصل به برق متناوب برخلاف سلف ۹۰ درجه تقدم فاز دارد و لذا ضمن خنثی نمودن اثر سلفی مصرفکننده هیچگونه توان حقیقی نیز از شبکه دریافت نمیکند.
رگولاتور ولتاژ
یکی از وسایلی که در روش اصلاح ضریب توان به کمک خازن استفاده میشود رگولاتور ولتاژ است.
این وسیله با اندازه گیری ضریب توان بار به مقدار مورد نیاز (به صورت پله ای) خازن وارد مدار می کند.
با اندازه گیری ولتاژ و جریان مصرفکننده مقدار ضریب توان محاسبه شده و با توجه به ضریب توان مورد نظر (معموال ۰.۹ )میزان توان راکتیو مورد نیاز محاسبه و خروجی رگولاتور متناسب با این مقدار توان راکتیو پله های مناسبی را وارد یا خارج از مدار می کند.
اصلاح ضریب توان به کمک فیلتر اکتیو موازی
هارمونیک ها ولتاژ ها یا جریان ها سینوسی هستند که فرکانس آنها مضرب صحیحی از فرکانس نامی سیستم است.
شکل موج های اعوجاج یافته می توانند به مولفه فرکانس اصلی و تعدادی هارمونیک تجزیه شوند.
در شبکه قدرت اعوجاج هامونیکی به دلیل وجود مشخصه غیرخطی تجهیزات و بارها ایجاد میشود.
اثرات مخرب هارمونیک ها: عملکرد نامناسب وسایل کنترل کننده، عملکرد نامناسب سیستم های تولید کننده سیگنال و رله های حفاظتی، تلفات اضافی در خازن ها و ماشین های الکتریکی، نویز اضافی در موتور و دیگر وسایل، اختلالات تلفنی….
برای رفع مشکل هارمونیک ها میتوان از فیلترهای اکتیو مطابق شکل استفاده کرد.

فیلترهایی اکتیو موازی، نزدیک مصرف کننده و به صورت موازی با آن به شبکه وصل میشود.
هدف اصلی از به کارگیری این وسیله تزریق هارمونیک های جریان به نقطه اتصال می باشد. در این صورت جریان کشیده شده از منبع عاری از هارمونیک خواهد بود.
یکی از کاربرد های فرعی فیلترهای اکتیو موازی جبران توان راکتیو می باشد بطوریکه عالوه بر تزریق جریان هارمونیکی جریان راکتیو را نیز به نقطه اتصال تزریق میکند و در واقع مشابه خازن توان راکتیو جاری شده در شبکه کاهش مییابد.
ضریب توان اقتصادی
کاهش هزینه برق مصرفی در تعرفه های چند قسمتی به وسیلهی نصب خازن در مدار که منجر به کاهش توان راکتیو می شود انجام میگردد.
به جهت هزینه بر بودن نصب خازن لازم است به هزینه انرژی الکتریکی و هزینه نصب و راه اندازی خازن توجه شود تا با توجه به این هزینهها اقتصادیترین ضریب توان تعیین شود.
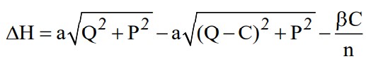
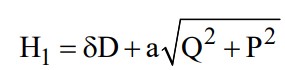
در یک تعرفه دو قسمتی هزینه سالیانه بدون درنظر گیری خازن از رابطه زیر تعیین می شود:
![]()
در صورت اضافه شدن خازنی با ظرفیتC کیلوولت آمپر هزینه سالیانه برق با احتساب خازن از رابطه زیر محاسبه می شود:
![]()
با توجه به دو رابطه قبل میزان صرفه جویی سالیانه برابر خواهد بود با:

برای یافتن مقدار خازن برای داشتن حداکثر صرفه جویی، مشتق رابطه بالا را نسبت بهC برابر صفر قرار می دهیم. و اقتصادی ترین ضریب توان بصورت زیر بدست می آید:

جهت مشاوره خرید و استعلام قیمت، نصب و راه اندازی، راهنمایی، گارانتی و مشخصات فنی با کارشناسان دیزل صنعت تماس بگیرید. (۳۳۳۵۹۸۱۸ – ۰۴۱ ).

